English
全部
搜索
图片
视频
地图
资讯
更多
购物
航班
旅游
笔记本
报告不当内容
请选择下列任一选项。
无关
低俗内容
成人
儿童性侵犯
时长
全部
短(小于 5 分钟)
中(5-20 分钟)
长(大于 20 分钟)
日期
全部
过去 24 小时
过去一周
过去一个月
去年
清晰度
全部
低于 360p
360p 或更高
480p 或更高
720p 或更高
1080p 或更高
源
全部
Dailymotion
Vimeo
Metacafe
Hulu
VEVO
Myspace
MTV
CBS
Fox
CNN
MSN
价格
全部
免费
付费
清除筛选条件
安全搜索:
中等
严格
中等(默认)
关闭
筛选器
bartleby.com
Answered: Finding the Derivative by the Limit Process In the given question/s, find the derivative of the function by the limit process.:- f (x) = x2 - 5 | bartleby
Finding the Derivative by the Limit Process In the given question/s, find the derivative of the function by the limit process.:- f (x) = x2 - 5
2021年3月25日
Derivative Rules
All The Derivative Rules For Calculus 1
git.ir
2023年7月15日
11:03
5.2K views · 138 reactions | Derivative of a function - The power rule #derivatives #derive #Derivative #maths #calculus #easymaths #powerrule #instagram #explorepage #reels #fyp #comedy #explorepage | Math 4 Fun | Facebook
Facebook
Math 4 Fun
已浏览 5275 次
3 周前
11:09
Applying the Rules of Differentiation to Calculate Derivatives
Study.com
已浏览 5.6万 次
2012年5月14日
热门视频
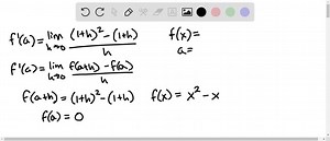
SOLVED:The given limit represents the derivative of a function f at a number a. Find f and a limh →0 ((1+h)^10-1)/(h)
numerade.com
1 个月前
Determining the Limit of a Function by Recognizing an Expression as the Definition of the Derivative of a Function Whose Derivative is Known | Calculus | Study.com
study.com
2021年7月11日
How to Find the Derivative of a Function Using the Limit Definition of a Derivative | Calculus | Study.com
study.com
2021年6月17日
Derivative Examples
6:23
Finding Derivatives of a Function | Overview & Calculations
Study.com
已浏览 11.9万 次
2019年11月8日
2:55
Derivatives: The Basics EXPLAINED with Examples
YouTube
Ace Tutors
已浏览 6962 次
2020年10月7日
3.1: Defining the Derivative
libretexts.org
9 个月之前
SOLVED:The given limit represents the derivative of a function f at a n
…
1 个月前
numerade.com
Determining the Limit of a Function by Recognizing an Expression as
…
2021年7月11日
study.com
How to Find the Derivative of a Function Using the Limit Definitio
…
2021年6月17日
study.com
How to Find the Derivative of a Function Using the Limit of a Diffe
…
2021年6月17日
study.com
The limit given below represents the derivative of some functio... | Filo
已浏览 5815 次
2024年9月10日
askfilo.com
8:11
Using Limits to Calculate the Derivative
已浏览 4.2万 次
2012年3月28日
Study.com
Determining the Limit of the Difference of Two Functions | Calc
…
2021年8月5日
study.com
Determining the Limit of the Sum of Two Functions | Calculus | Study.
…
2021年7月11日
study.com
10:53
Limits and Derivatives Explained with Examples
已浏览 14 次
2 个月之前
YouTube
Math and Physics Learning Channel
Limit Definition of the Derivative Practice
已浏览 567 次
2017年8月10日
YouTube
Recognition Tutoring
Calculus: Finding derivatives by the limit definition
已浏览 512 次
2020年5月24日
YouTube
Ho Hon Leung
The limit definition of the derivative not only is where all those formula
…
已浏览 460万 次
2023年8月25日
TikTok
wallacestem
SOLVED: point) The limit9 h = limIs the standard expression defining t
…
2022年2月26日
numerade.com
JEE Main 2022: Important & Must-Do Questions of Calculus Class 12 M
…
已浏览 2778 次
2022年6月9日
byjus.com
The given limit represents the derivative of a function f at a ... | Filo
2023年10月25日
askfilo.com
Understanding Derivatives in Calculus
已浏览 40万 次
2024年10月1日
TikTok
baddieprofessor
15:43
Formal definition of the derivative as a limit
2011年2月20日
Khan Academy
Sal Khan
14:30
Derivatives... What? (NancyPi)
已浏览 120.8万 次
2018年9月6日
YouTube
NancyPi
52:51
Calculus 1 - Derivatives
已浏览 441.6万 次
2018年7月9日
YouTube
The Organic Chemistry Tutor
11:08
Introduction to Limits
已浏览 47万 次
2017年5月30日
YouTube
The Organic Chemistry Tutor
1:14:42
Limits and Derivatives | Class 11 Maths | Chapter 13
已浏览 403.6万 次
2020年7月28日
YouTube
LearnoHub - Class 11, 12
17:12
The Derivative - Long Method
已浏览 2.9万 次
2021年1月31日
YouTube
Ram's Channel
6:25
Evaluating Limits - Basic Calculus
已浏览 23.6万 次
2021年1月20日
YouTube
MATH TEACHER GON
9:35
Limits of Functions - part 1
已浏览 80.7万 次
2008年10月11日
YouTube
Terry's Math Tutoring
20:20
Calculus 1 - Introduction to Limits
已浏览 612.7万 次
2021年1月1日
YouTube
The Organic Chemistry Tutor
20:44
Basic Differentiation Rules For Derivatives
已浏览 154.1万 次
2018年11月21日
YouTube
The Organic Chemistry Tutor
23:31
Definition of the Derivative
已浏览 285.5万 次
2018年2月22日
YouTube
The Organic Chemistry Tutor
9:58
Limit examples (part 3) | Limits | Differential Calculus | Khan Acade
…
已浏览 97.6万 次
2007年9月30日
YouTube
Khan Academy
8:58
Limit examples (part 1) | Limits | Differential Calculus | Khan Acade
…
已浏览 169.3万 次
2007年9月30日
YouTube
Khan Academy
观看更多视频
更多类似内容
反馈