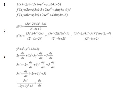
Derivative Using Implicit Differentiation 的热门建议 |
- Implicit Differentiation
Calculator - Implicit Differentiation
Examples - Second Derivative
of Implicit Differentiation - Implicit Derivative
Calculator - Implicit
Diff - Implicit Partial Differentiation
Zx Zy - Example Using Implicit Differentiation
to Find the Derivative Xy 1 - Implicit Differentiation
Organic Chem Tutor - Implicit Differentiation
Three Variables - Derivative of Implicit
Function - Implicit Differentiation
2nd Derivative - Implicit
Second Derivative - Implicit Differentiation
Khan Academy - Implicit Differentiation
Trig - Derivative of Arctan
Using Implicit Differentiation - Differentiation
Calculus 1 - Implicit Differentiation
of Trig Functions - Implicit Derivatives
at a Point - Implicit Differentiation
Explanation - Implicit Differentiation
Problems - Partial
Differentiation - Second Derivatives Implicit
Equations - 2Xy
Implicit Differentiation - Implicit Differentiation
Step by Step - How to Perform
Implicit Differentiation - Implicit Differentiation
Trigonometry - Implicit Differentiation
Tutorial - Differentiate
Calculus - Differentiation
Math - Implicit
Integration - Find Derivative
by Implicit Differentiation - Implicit Differentiation
Calculus - 2nd Derivative
of Implicit Differentiation - Implicit Differentiation
Calculus Eddie Woo - Use Implicit Differentiation
to Find Dy Dx - Differentiation
of Trigonometric Functions - Implicit Differentiation
Chain Rule - Differentiation
Calculus - Implicit Differentiation
to Find Tangent Line - Implicit Differentiation
with Square Root - Implicit Differentiation
with Fractions - Find Y N by
Implicit Differentiation - Dy Dx
Implicit Differentiation - Implicit Differentiation
Practice Problems
观看更多视频
更多类似内容
