English
全部
搜索
图片
视频
地图
资讯
更多
购物
航班
旅游
笔记本
报告不当内容
请选择下列任一选项。
无关
低俗内容
成人
儿童性侵犯
时长
全部
短(小于 5 分钟)
中(5-20 分钟)
长(大于 20 分钟)
日期
全部
过去 24 小时
过去一周
过去一个月
去年
清晰度
全部
低于 360p
360p 或更高
480p 或更高
720p 或更高
1080p 或更高
源
全部
Dailymotion
Vimeo
Metacafe
Hulu
VEVO
Myspace
MTV
CBS
Fox
CNN
MSN
价格
全部
免费
付费
清除筛选条件
安全搜索:
中等
严格
中等(默认)
关闭
筛选器
6:28
byjus.com
NCERT || Grade 10 || Mathematics || Coordinate Geometry || Coordinates of point
Bearing the concept of explaining physics using real life examples, understand uniform circular motion through the motion of a fan in this animation intensive video! We at Byju's Classes strongly believe that a spirit of learning and understanding can only be inculcated when the student is curious, and that curiosity can be brought about by ...
已浏览 36.6万 次
2021年10月25日
Class 10 Math Tricks
13:16
CLASS 10 MATHS | *TRIGONOMETRY BEST TRICK* 🤯| SOLVE IN 2 SECONDS 🔥
YouTube
Learn with Madhu
已浏览 151.4万 次
2023年3月18日
51:00
Hacks to Solve Word Problems 🤯 | Linear Equation in Two Variable | Class 10 Maths | Shobhit Nirwan
YouTube
Next Toppers
已浏览 186.4万 次
2024年7月20日
10:52
Maths Last Minute Strategy To score 95%🔥| Class 10th| Prashant Kirad|
YouTube
Exphub 9th &10th
已浏览 187.8万 次
2024年3月7日
热门视频
NCERT Solutions For Class 10 Maths Chapter 7 Coordinate Geometry Ex 7.2
learncbse.in
2021年8月10日
NCERT Solutions for Class 10 Maths Chapter 7 Exercise 7.2
tiwariacademy.com
2024年10月8日
NCERT Solutions for Class 10 Maths Chapter 7 Coordinate Geometry
tiwariacademy.com
3 个月之前
Class 10 Math Problems
14:46
Class 10th - Comeback Plan 2026🔥| Last 30 Days| Prashant Kirad
YouTube
Exphub 9th &10th
已浏览 77.4万 次
3 天之前
1:10
VIJETA Series Class 12 🔥 OFFICIAL TRAILER | Board Exam 2026
YouTube
NCERT Wallah
已浏览 29.9万 次
2 天之前
2:10
Behind The Scenes | Class | Netflix India
YouTube
Netflix India
已浏览 22.4万 次
2023年3月10日
NCERT Solutions For Class 10 Maths Chapter 7 Coordinate Geom
…
2021年8月10日
learncbse.in
NCERT Solutions for Class 10 Maths Chapter 7 Exercise 7.2
2024年10月8日
tiwariacademy.com
NCERT Solutions for Class 10 Maths Chapter 7 Coordinate Geometry
3 个月之前
tiwariacademy.com
22:04
Coordinate Geometry - Exercise 7.2 | Class 10 Maths Chapter 7 | NCER
…
已浏览 1 次
2 个月之前
YouTube
Maths Rangmanch
17:57
Class 10 | NCERT Maths | Chapter 7 - Coordinate Geometry | Exercise
…
已浏览 1万 次
2019年1月10日
YouTube
Toppers Village
33:36
T.P-2|Coordinate Geometry - Exercise 7.2 | Class 10 Maths Cha
…
已浏览 14 次
3 个月之前
YouTube
IDEALCLASSES (11th & 12th )
0:34
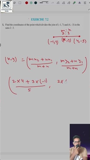
Class 10 Maths | NCERT Exercise 7.2 Q1 | Coordinate Geometry Sol
…
已浏览 146 次
3 个月之前
YouTube
KSeducationhub
21:22
Coordinate Geometry - Exercise 7.2 | Class 10 Maths Chapter 7 | NCER
…
已浏览 8 次
1 个月前
YouTube
Maths Rangmanch
46:58
Class 10 Maths |Exercise 7.2|Coordinate Geometry|Chapter
…
已浏览 10 次
2 个月之前
YouTube
Deepti Srivastava
36:30
Class 10 Maths | Coordinate Geometry Chapter 7 | NCERT Exer
…
3 个月之前
YouTube
Akhand Classes
2:43:57
🔥Ex - 7.2 Class 10 Ncert #shortsfeed #live #shortslive #shorts #shortvid
…
已浏览 931 次
3 个月之前
YouTube
𝙎𝙪𝙢𝙞𝙩 𝙠𝙞 𝙎𝙩𝙪𝙙𝙮
Class 10 Maths Chapter 7 | Coordinate Geometry Full Chapte
…
已浏览 2万 次
2022年2月12日
YouTube
Magnet Brains
Coordinate Geometry - Section Formula, NCERT Exercise 7.2 & S
…
已浏览 6.1万 次
2022年9月8日
YouTube
Magnet Brains
Example 9,10 Chapter 7 (Coordinate Geometry) Class 10th Math
已浏览 24.8万 次
2021年7月3日
YouTube
Nexa Classes-Deepak Antil
4:35
Ex-7.2 Q-5 | Chapter 7 | NCERT | Class 10th Math
已浏览 45.9万 次
2020年6月4日
YouTube
Nexa Classes-Deepak Antil
Class 10 Chapter-7, Introduction (Coordinate Geometry) New CBS
…
已浏览 5.8万 次
2023年6月21日
YouTube
Green Board Classes 10th
37:32
Coordinate Geometry | Class 10 | Part-1 | NCERT Introduction Exerc
…
已浏览 5.5万 次
2020年4月30日
YouTube
Home School
30:44
Class - 10 Ch - 7, Introduction to Coordinate Geometry || Part - 1 ||
…
已浏览 157.2万 次
2021年8月27日
YouTube
GREEN Board
1:15:22
Exercise 2.7 - 10th Class Math - Part 2 | Waqas Nasir
已浏览 51万 次
2021年1月6日
YouTube
Waqas Nasir
1:36:26
Class - 10 Ex - 7.1, Q1 to Q10 (Coordinate Geometry) || Part - 2 |
…
已浏览 579.9万 次
2021年9月2日
YouTube
GREEN Board
1:26:19
Exercise 7.2 class 10th maths
已浏览 23.7万 次
2020年11月17日
YouTube
RAJAN SIR
1:12:54
CLASS 10th Mathematics CHAPTER 7 COORDINATE GEOMETRY EXE
…
已浏览 61.8万 次
2020年8月1日
YouTube
Mathematics Analysis
5:30
Ex-7.2 Q-2 | Chapter 7 | NCERT | Class 10th Math
已浏览 41.5万 次
2020年6月3日
YouTube
Nexa Classes-Deepak Antil
6:29
Ex-7.2 Q-7,8 | Chapter 7 | NCERT | Class 10th Math
已浏览 49.2万 次
2020年6月4日
YouTube
Nexa Classes-Deepak Antil
7:52
Chapter:10 Ex.10.2 (Q.5) Circles | Ncert Maths Class 10 | Cbse.
已浏览 42.2万 次
2019年4月9日
YouTube
Ranveer Maths 10
11:16
Chapter:7 Ex.7.1 (Q.3) Coordinate Geometry | Ncert Maths Class 10 |
…
已浏览 28.2万 次
2019年3月15日
YouTube
Ranveer Maths 10
22:24
Chapter:7 Ex.7.1 (Q.7,8) Coordinate Geometry | Ncert Maths Class 10 |
…
已浏览 50.9万 次
2019年3月18日
YouTube
Ranveer Maths 10
6:14
Class 11 Maths Ex-9.2 Q-7 | Chapter 9 ( Straight Lines ) | NCERT Math
已浏览 52.3万 次
2021年8月10日
YouTube
Nexa Classes-Deepak Antil
26:31
Class 10th Maths | Exercise 7.1 (Q1, Q2, Q3, Q4, Q5) | Chapter 7 - Coor
…
已浏览 24.1万 次
2020年10月2日
YouTube
Ignited Minds
观看更多视频
更多类似内容
反馈